An elementary proof of Fermat's last theorem v. 1.4
Received: 17-Jan-2024, Manuscript No. PULJPAM-24-6920; Editor assigned: 19-Jan-2024, Pre QC No. PULJPAM-24-6920 (PQ); Reviewed: 02-Feb-2024 QC No. PULJPAM-24-6920; Revised: 18-Mar-2025, Manuscript No. PULJPAM-24-6920 (R); Published: 25-Mar-2025
This open-access article is distributed under the terms of the Creative Commons Attribution Non-Commercial License (CC BY-NC) (http://creativecommons.org/licenses/by-nc/4.0/), which permits reuse, distribution and reproduction of the article, provided that the original work is properly cited and the reuse is restricted to noncommercial purposes. For commercial reuse, contact reprints@pulsus.com
Abstract
In this present paper we will show you an elementary proof of the Fermat’s Last Theorem, that is “too large to fit in the margin”, for the general case xn + yn=zn. First we begin showing you the cases n=2, n=3 and n=4 to familiarize with the general solution n ∈ ℕ, n ≥ 3.
Keywords
Fermat; Theorem; Elementary; Proof; Number theory; Fermat’s last theorem
Introduction
Around the year 1637, Pierre de Fermat, a lawyer and an amateur mathematician, was reading the Diophantus book ”Arithmetica” and wrote in the margin the next words:
”Cubum autem in duos cubos, aut quadratoquadratum in duos quadratoquadratos et generaliter nullam in infinitum ultra quadratum potestatem in duos eiusdem nominis fas est dividere cuius rei demonstrationem mirabilem sane detexi. Hanc marginis exiguitas non caperet.”
Its translation is as follows:
”It is impossible to separate a cube into two cubes, or a fourth power into two fourth powers, or in general, any power higher than the second, into two like powers. I have discovered a truly marvelous proof of this, which this margin is too narrow to contain” [1]. Mathematically speaking, it says: There are no solutions for the diophantine equation xn+yn = zn with x, y, z, n ∈ â?? and n ≥ 3, except the trivial solutions x=0, y=0 and z=0.
For centuries that proposition was challenging for the mathematicians and there is a lot of literature about its development. We suggest the reading of Paulo Ribemboim [2]. On the year 1995, Andrew John Wiles became to the proof of the Fermat’s last theorem with modular elliptic curves theory and solving the Taniyama-Shimura-Weil conjecture [3]. He was awarded with the Abel Prize in 2016 and the Copley Medal in 2017.
In the dawn of October 8 in 2023 we was thinking, relaxed at the moment of almost sleeping, about how to solve the problem of Fermat’s last theorem in an elementary way. Trying an easy reconfiguration of the equation x2+y2=z2, we became to the solution of the case n=2. In the next afternoon we proceeded to write the proof and calculate its correctness. Later on October 9 of 2023 we discovered the cases n=3, x3+y3 ≠ z3 and n=4, x4+y4 ≠ z4 by the same way. Later on October 9 of 2023 we arrived to the sketch of the general case xn+yn ≠ zn, n ∈ N, n ≥ 3. We show you the results for your enjoyment [4-5].
Description
Proof of the case N=2, X2+Y2=Z2 and Pythagorean triplets
Theorem 1
Let be x, y, z ∈ Z, x ≠ 0, y ≠ 0, z ≠ 0, z>x, z>y.
x2+y2=z2
We can make every primitive Pythagorean triplet, (x, y, z), as follows if k=1, 2, 3... and c=1, 2, 3...

if k=1, 2, 3... and c = 1, 2, 3..

the multiples of the Pythagorean triplets can be made only by multiplying the three numbers (mx,my,mz).
Proof: We begin with the proposed equation to test its validity
x2+y2=z2
let us rewrite this as
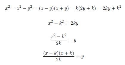
x2=z2−y2=(z−y)(z+y)
Setting z=y+k, k=1, 2, 3... , z > y, we have

Case 1: To find the value of k, we use the above equation

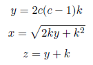
Setting x−k=2ck, c=1, 2, 3... , we have x=(2c+1)k Substituting x=(2c+1)k in the above equation we have

y is a whole number because the left side is a whole number.

k is a whole number because we can choose y being a multiple of 2c(c+1).
Case 2: Coming back with the above equation, to find the value of k

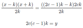
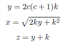
Setting x+k=2ck, c=1, 2, 3... , we have x=(2c−1)k. Substituting x=(2c−1)k in the above equation we have

y is a whole number because the left side is a natural number.

k is a whole number because we can choose y being a multiple of 2c(c−1).
Conclusion: As the proposed equation depends on k being a whole number, remember that z=y+k and k is in fact a whole number that we can conveniently choose, we conclude that
x2+y2=z2
Addendum: We can make every primitive Pythagorean triplet, (x, y, z), as follows if k= , 2, 3... and c=1, 2, 3...

if k=1, 2, 3... and c=1, 2, 3...

The multiples of the Pythagorean triplets can be made only by multiplying the three numbers (mx,my,mz).
Quod Erat Demonstrandum (QED)
Proof of the case n=3, x3 + y3/= z3
Theorem 2:
Let be x, y, z ∈ Z, x ≠ 0, y ≠ 0, z ≠ 0, z > x, z > y.
x3+y3 ≠ z3
Proof: We begin with the proposed equation to test its validity
x3+y3=z3
Let us rewrite this as
x3=z3−y3=(z−y)(z2+zy+y2)
Setting z=y+k, k=1, 2, 3... , z>y, we have
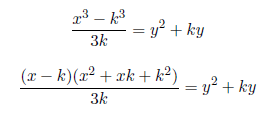
x3=z3−y3=(z−y)(z2+zy+y2)=k(3y2+3ky +k2)=3ky2+3k2y+k3
x3−k3=3ky2+3k2y

Case 1: To find the value of k, we use the above equation

Setting x−k=3ck, c=1, 2, 3... , we have x=(3c+1)k. Substituting x=(3c+1)k in the above equation we have

k is not a whole number because the numerator is not a multiple of the denominator, remember that z=y+k.
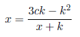
Case 2: Coming back with the above equation, to find the value of k

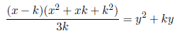
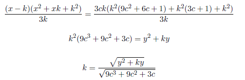
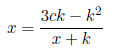
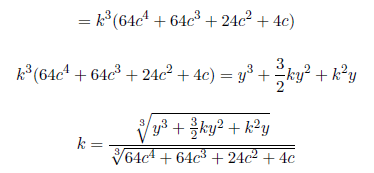
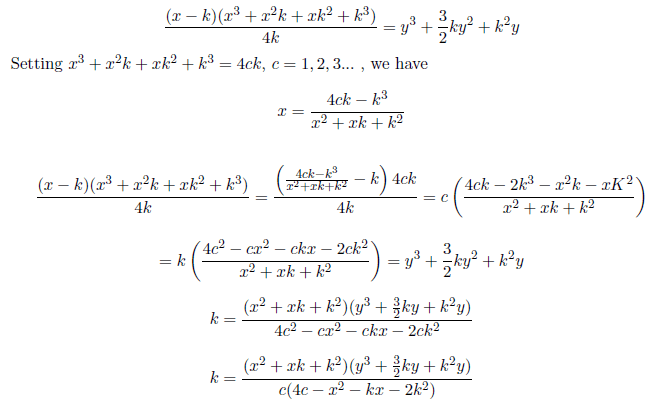
Setting x2+xk+k2=3ck, c=1, 2, 3... , we have

Substituting

in the above equation we have

k is not a whole number because the numerator is not a multiple of the denominator, remember that z=y + k.
Conclusion: As the proposed equation depends on k being a whole number, remember that z=y+k, and k is not a whole number, we conclude that
x3+y3 ≠ z3
Quod Erat Demonstrandum (QED).
Proof of the case n=4, x4+y4 ≠ z4
Theorem 3: Let be x, y, z ∈ Z, x ≠ 0, y ≠ 0, z ≠ 0, z > x, z > y.
x4+y4 ≠ z4
Proof: We begin with the proposed equation to test its validity
x4+y4=z4
Let us rewrite this as
x4=z4−y4=(z−y)(z3+z2y+zy2+y3)
Setting z=y+k, k=1, 2, 3... , z > y, we have
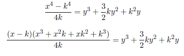
x4=z4−y4=(z−y)(z3+z2y+zy2+y3)=k(4y3+6ky2+4k2y+k3)=4ky3+6k2y2+4k3y+k4
x4−k4=4ky3+6k2y2+4k3y

Case 1: To find the value of k, we use the above equation

Setting x−k=4ck, c=1, 2, 3... , we have x=(4c+1)k. Substituting x=(4c+1)k in the above equation we have


k is not a whole number because the numerator is not a multiple of the denominator, remember that z=y+k.
Case 2: Coming back with the above equation, to find the value of k

k is not a whole number because the numerator is not a multiple of the denominator, remember that z=y+k.
Conclusion: As the proposed equation depends on k being a whole number, remember that z=y+k, and k is not a whole number, we conclude that
x4+y4 ≠ z4
Quod Erat Demonstrandum (QED).
Proof of the general case xn+yn ≠ zn
Theorem 4:
Let be x, y, z ∈ Z, x ≠ 0, y ≠ 0, z ≠ 0, z>x, z>y, n ∈ N, n ≥ 3.
xn+yn ≠ zn
Proof: We begin with the proposed equation to test its validity
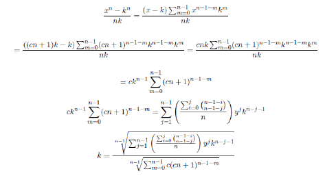
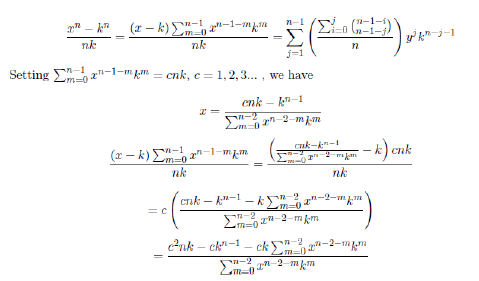
xn+yn=zn
Let us rewrite this as

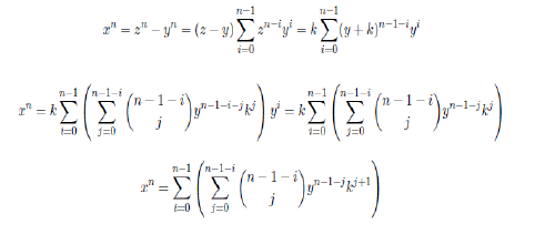
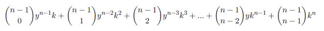
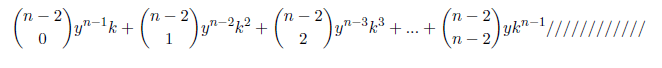
Setting z=y+k, k=1, 2, 3... , z > y, we have

We can rearrange the sums, in order to simplify the double sum into only one sum of variables

in the next way:
Setting i=0

Setting i=1

+
Setting i=n–2

Setting i=n–1

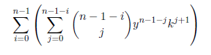
Summing by columns we have

Returning to the main relations we have

Now we can rearrange taking one element of the sum from the above formula

Case 1: To find the value of k, we use the above equation

Setting x−k=cnk, c=1, 2, 3... , we have x=(cn+1)k. Substituting x=(cn+1)k in the above equation we have

k is not a whole number because the numerator is not a multiple of the denominator, remember that z=y+k.
Case 2: Coming back with the above equation, to find the value of k


k is not a whole number because the numerator is not a multiple of the denominator, remember that z=y+k.
Conclusion
As the proposed equation depends on k being a whole number, remember that z = y +k, and k is not a whole number, we conclude that
xn+yn ≠ zn
if n ≥ 3.
Quod Erat Demonstrandum (QED).
Acknowledgement
We are thankful with Jean-Marc Deshouillers (jeanmarc. deshouillers@math.u-bordeaux.fr) for pointing out some mistake in our previous reasoning that we have already corrected.
References
- Heath TL. Diophantus of Alexandria: A study in the history of Greek algebra. University Press; 1910.
- Ribenboim P. 13 lectures on Fermat's last theorem. Springer Science and Business Media; 1979.
- Wiles A. Modular elliptic curves and Fermat's last theorem. Ann Math. 1995;141(3):443-551.
- Nag BB. An elementary proof of Fermat’s Last Theorem for epsilons. Adv Pure Math. 2021;11(8):735-40.
- Karmakar SB. An elementary proof of Fermat’s last theorem for all even exponents. J Math Cryptol. 2020;14(1):139-42.


